Npv

Синтаксис

Npv(Rate, Values)

Параметры

Rate. Ставка дисконтирования за один период;

Values. Диапазон ячеек, содержащий значения расходов и доходов.

Примечание. В качестве параметра можно указывать как непосредственно значение параметра, так и адрес ячейки, в которой оно располагается.

Описание

Возвращает величину чистой приведённой стоимости инвестиции, используя ставку дисконтирования, а также стоимости будущих выплат (отрицательные значения) и поступлений (положительные значения).

Комментарии

Значения параметра Values должны быть равномерно распределены во времени, выплаты должны осуществляться в конце каждого периода. Функция Npv использует порядок значений параметра Values для определения порядка поступлений и платежей. Убедитесь в том, что платежи и поступления введены в правильном порядке.

Считается, что инвестиция, значение которой вычисляет функция Npv, начинается за один период до даты денежного взноса Values и заканчивается с последним денежным взносом в списке. Вычисления функции Npv базируются на будущих денежных взносах. Если первый денежный взнос приходится на начало первого периода, то первое значение добавьте к результату функции Npv, но не включайте в список аргументов.

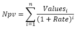
Функция вычисляется по формуле:

,

где:

Пример

Формула Результат Описание
=Npv(0.15, A0:C0) 3,68 Величина чистой приведенной стоимости инвестиции исходя из ставки дисконтирования 0,15 и стоимости будущих выплат и поступлений, указанных в диапазоне ячеек A0:C0. Диапазон ячеек A0:C0 содержит следующие значения: -0,1, 1,5, 4.
=Npv(В6, A0:C0) 3,06 Величина чистой приведенной стоимости инвестиции исходя из ставки дисконтирования, указанной в ячейке В6, и стоимости будущих выплат и поступлений, указанных в диапазоне ячеек A0:C0. Диапазон ячеек A0:C0 содержит следующие значения: -0,1, 1,5, 4. Ячейка B6 содержит значение 0,23.

См. также:

Мастер функцийФинансовые функцииPvXnpv