Стандартное отклонение - это мера того, насколько широко разбросаны точки данных относительно их среднего.
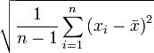
Стандартное отклонение по выборке рассчитывается по следующей формуле:

Где:
x. Выборочное среднее;
n. Размер выборки.
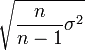
Исправленное стандартное отклонение по выборке рассчитывается по следующей формуле:

Где:
n. Размер выборки.
Стандартное отклонение по генеральной совокупности рассчитывается по следующей формуле:
![]()
Где:
x. Выборочное среднее;
n. Размер выборки.
См. также:
Библиотека методов и моделей | IModelling.Stdv | IStatistics.StDev | IStatistics.StDevP