Мастер функций для функции MDuration выглядит следующим образом:

MDuration(Settlement, Maturity, CouponRate, YieldP, Frequency[, Basis])
Settlement. Дата расчета за ценные бумаги. Эта дата более поздняя, чем дата выпуска, когда ценные бумаги были проданы покупателю;
Maturity. Срок погашения ценных бумаг. Эта дата определяет истечение срока действия ценных бумаг;
CouponRate. Годовая процентная ставка для купонов по ценным бумагам;
YieldP. Годовой доход по ценным бумагам;
Frequency. Количество выплат по купонам в год. Обязательный аргумент. Параметр может принимать следующие значения:
1. Ежегодные выплаты;
2. Полугодовые выплаты;
4. Ежеквартальные выплаты;
Basis. Используемый способ вычисления дня. Задается в интервале от 0 до 4:
0. Способ вычисления дня американский. 360 дней (метод NSAD). Значение по умолчанию;
1. Способ вычисления дня фактический/фактический;
2. Способ вычисления дня фактический/360 дней;
3. Способ вычисления дня фактический/365 дней;
4. Способ вычисления дня европейский 30/360 дней.
Необязательный параметр.
Примечание. В качестве параметра можно указывать как непосредственно значение параметра, так и адрес ячейки, в которой оно располагается.
Возвращает модифицированную продолжительность Маколея для ценных бумаг с предполагаемой номинальной стоимостью 100 руб.
Значение параметра Settlement должно быть меньше значения параметра Maturity.
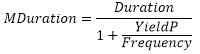
Функция вычисляется по формуле:
,
где:
Duration. Продолжительность Маколея Duration.
| Формула | Результат | Описание |
| =MDuration("01.01.2008", "01.01.2016", 0.28, 0.82, 4, 3) | 1,4979 | Модифицированная продолжительность Маколея на следующих условиях:
|
| =MDuration(A1, A2, 0.08, 0.09, 2, 1) | 5,7357 | Модифицированная продолжительность Маколея на следующих условиях:
|
См. также: