Обобщенное распределение экстремальных значений

В теории вероятности и математической статистике распределение экстремальных значений (EV) представляет собой семейство вероятностных распределений, разработанных для теории экстремальных значений. Обобщенное распределение экстремальных значений представляет собой обобщение распределений Гумбельта, Фрешета и Вейбулла и используется для приближенного моделирования максимумов конечных последовательностей случайных величин.

Пусть случайная величина X распределена по закону, который описан функцией:

Где:

Тогда случайная величина X имеет обобщенное распределение экстремальных значений или .

Функция плотности распределения:

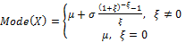
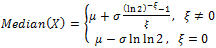
Характеристики распределения

Где γ - константа Эйлера;

Где - гамма функция;

Оценка параметров распределения

Логарифмическая функция правдоподобия для GEV распределения при ξ ≠ 0:

Логарифмическая функция правдоподобия для GEV распределения при ξ = 0:

Для поиска оптимальной оценки параметров необходимо максимизировать обе функции правдоподобия и выбрать максимальный результат. Это и будет наилучшей оценкой параметров.

См. также:

Библиотека методов и моделей | ISmGeneralizedExtremeValueDistribution