IFinance.Npv

Синтаксис Fore

Npv(Rate: Double; Values: Array): Double;

Синтаксис Fore.NET

Npv(Rate: double; Values: System.Array): double;

Параметры

Параметры Описание Ограничения
Rate Ставка дисконтирования за один период. Не может быть равен «0»
Values Массив аргументов, представляющих расходы и доходы. Необходимо использовать массив типа Double.

Описание

Метод Npv возвращает величину чистой приведенной стоимости инвестиции, используя ставку дисконтирования, а также стоимости будущих выплат (отрицательные значения) и поступлений (положительные значения).

Комментарии

Считается, что инвестиция, значение которой вычисляет метод Npv, начинается за один период до даты денежного взноса Values и заканчивается с последним денежным взносом в списке. Вычисления метода Npv базируются на будущих денежных взносах. Если первый денежный взнос приходится на начало первого периода, то первое значение следует добавить к результату метода Npv, но не включать в список аргументов.

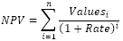
Npv вычисляется следующим образом:

Где n – количество чисел в аргументе Values.

Пример Fore

Для выполнения примера добавьте ссылку на системную сборку MathFin.

Sub UserProc;
Var
    r: Double;
    Arr: Array[3Of Double;
Begin
    Arr[0] := -1;
    Arr[1] := 1.5;
    Arr[2] := 2.5;
    r := Finance.
Npv(0.15, Arr);
    Debug.WriteLine(r);
End Sub UserProc;

В результате выполнения примера в окно консоли будет выведена величина чистой приведенной стоимости инвестиции, равная «1.9084».

Пример Fore.NET

Необходимые требования и результат выполнения примера Fore.NET совпадают с примером Fore.

Imports Prognoz.Platform.Interop.MathFin;

Public Shared Sub Main(Params: StartParams);
Var
    r: double;
    Finance: FinanceClass = New FinanceClass();
    Arr: Array[3Of Double;
Begin
    Arr[0] := -1;
    Arr[1] := 1.5;
    Arr[2] := 2.5;
    r := Finance.Npv(0.15, Arr);
    System.Diagnostics.Debug.WriteLine(r);
End Sub;

См. также:

IFinance