Generalized Pareto Distribution

In statistics the Generalized Pareto Distribution (GPD) is a set of continuous probability distributions. It is often used for modeling of other distributions tails.

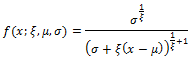
Assume that the random variable X is distributed by the rule, described by the function:

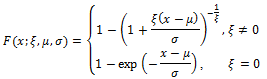
For ≥ μ when ξ ≥ 0 and μ ≤ ≤ μ σ ξ when ξ < 0, where:

Then random value X has the Generalized Pareto Distribution or .

Distribution density function:

Or

If μ ≤ ≤ μ σ ξ when ξ < 0.

Distribution Characteristics

Generalized Pareto distribution does not have skewness and kurtosis coefficients.

Distribution Parameters Estimation

Log-likelihood function for GPD:

For ≥ μ when ξ ≥ 0 and μ ≤ ≤ μ σ ξ when ξ < 0.

To find optimal parameters estimation, maximize ln L(ξμσ).

See also:

Library of Methods and Models | ISmGeneralizedParetoDistribution