This model combines ARIMA model and regression model.
Various autoregression processes are analyzed:
First order autoregression process with a single explanatory variable x:

To estimate coefficients this linear model is brought to non-linear one:
![]()
Autoregression process of random order p with explanatory variables x1, x2, …, xk:

To estimate coefficients this linear model is brought to non-linear one:
![]()
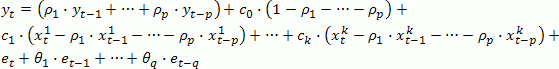
Autoregression process of random order p with the explanatory variables x1, x2, …, xk and moving averages with the order q:

To estimate coefficients this linear model is brought to non-linear one:

In these formulas, ut - residuals of the model without components.
See also:
Libraryof Methods and Models | ARIMA | Modeling Container: The ARIMA Model | Time Series Analysis: ARIMA | IModelling.Arima