The function wizard for the MDuration function looks as follows:

MDuration(Settlement, Maturity, CouponRate, YieldP, Frequency[, Basis])
Settlement. The payment day on securities. This date is later than the issue date (the date, when the securities were sold to the buyer)
Maturity. The security's maturity date. The maturity date is the date when the security expires.
CouponRate. Annual interest rate for coupons on securities.
YieldP. The annual income on securities.
Frequency. The number of coupon payments per year. Required argument. The parameter may take the following values:
1. Annual payments.
2. Semi-annual payments.
4. Quarterly payments.
Basis. The day calculation method used. Select a value from 0 to 4:
0. The day calculation method - American. 360 days (NSAD method). Default value.
1. Day calculation method - Actual/actual.
2. Day calculation method - Actual/360 days.
3. Day calculation method - Actual/365 days.
4. Day calculation method - European 30/360 days.
Optional parameter.
NOTE. To determine the parameter, it is available to specify either the parameter value or the cell address where it is located.
Returns the modified Macaulay duration for securities with assumed $100 face value.
The Settlement parameter value should not be less than the Maturity parameter value.
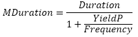
The function is calculated with the following formula:
,
where:
Duration. The Duration Macaulay duration.
| Formula | Result | Description |
| =MDuration("01.01.2008", "01.01.2016", 0.28, 0.82, 4, 3) | 1,4979 | Modified Macaulay duration at the following conditions:
|
| =MDuration(A1, A2, 0.08, 0.09, 2, 1) | 5,7357 | Modified Macaulay duration for a security at the following conditions:
|
See also: