Variance

Variance is a deviation of observed value (for each observation) from the arithmetic mean.

Sample Variance

It is calculated by the following formula:

Where:

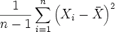
Adjusted Variance

If the sample size is relatively limited, unbiased (adjusted) variance formula is used to ensure more accurate results:

Where:

See also:

Library of Methods and Models | IModelling.Variance