Данная модель является объединением модели ARIMA и модели регрессии.
Рассматриваются различные авторегрессионные процессы:
Авторегрессионный процесс первого порядка c одной объясняющей переменной x:

Для оценки коэффициентов эта линейная модель приводится к нелинейной:
![]()
Авторегрессионный процесс произвольного порядка p с объясняющими переменными x1, x2, …, xk:

Для оценки коэффициентов эта линейная модель приводится к нелинейной:
![]()
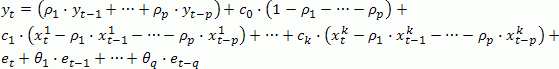
Авторегрессионный процесс произвольного порядка p с объясняющими переменными x1, x2, …, xk и скользящими средними порядка q:

Для оценки коэффициентов эта линейная модель приводится к нелинейной:

В приведенных формулах ut - это остатки модели без составляющих.
См. также:
Библиотека методов и моделей | ARIMA | Контейнер моделирования: модель «ARIMA» | Анализ временных рядов: ARIMA | IModelling.Arima