Generalized Distribution of Extreme Values

In the probability theory and in mathematical statistics, extreme value (EV) distribution is a set of probability distributions, developed for theory of extreme values. Generalized distribution of extreme values is a generalization of Gumbel, Frechet and Weibull distributions and is used for approximation modeling of maximum of finite sequences of random variables.

Assume that the random variable X is distributed by the rule described by the function:

Where:

Then the random value X has generalized distribution of extreme values or .

Distribution density function:

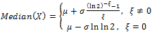
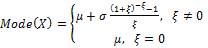
Distribution characteristics

Where γ - Euler constant.

Where - gamma function.

Distribution Parameters Estimation

Log-likelihood function for GEV distribution where ξ ≠ 0:

Log-likelihood function for the GEV distribution where ξ = 0:

To find optimal estimation of parameters it is necessary to maximize both likelihood functions and select the maximum result. This is the best estimation of parameters.

See also:

Library of Methods and Models | ISmGeneralizedExtremeValueDistribution