Extrapolation is a special type of approximation, at which the function is not approximated between set values, but outside the set interval.
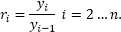
Consider a source series Y = {y1, y2, …, yn}, then extrapolation coefficient for geometric extrapolation is calculated as follows:
,
where:

Therefore, during dynamical approach the extrapolated series is calculated by the following formula:

See also: