MDuration

Мастер функций для функции MDuration выглядит следующим образом:

Синтаксис

MDuration(Settlement, Maturity, CouponRate, YieldP, Frequency[, Basis])

Параметры

Settlement. Дата расчета за ценные бумаги. Эта дата более поздняя, чем дата выпуска, когда ценные бумаги были проданы покупателю;

Maturity. Срок погашения ценных бумаг. Эта дата определяет истечение срока действия ценных бумаг;

CouponRate. Годовая процентная ставка для купонов по ценным бумагам;

YieldP. Годовой доход по ценным бумагам;

Frequency. Количество выплат по купонам в год. Обязательный аргумент. Параметр может принимать следующие значения:

Basis. Используемый способ вычисления дня. Задается в интервале от 0 до 4:

Необязательный параметр.

Примечание. В качестве параметра можно указывать как непосредственно значение параметра, так и адрес ячейки, в которой оно располагается.

Описание

Возвращает модифицированную продолжительность Маколея для ценных бумаг с предполагаемой номинальной стоимостью 100 руб.

Комментарии

Значение параметра Settlement должно быть меньше значения параметра Maturity.

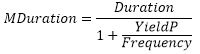
Функция вычисляется по формуле:

,

где:

Пример

Формула Результат Описание
=MDuration("01.01.2008", "01.01.2016", 0.28, 0.82, 4, 3) 1,4979 Модифицированная продолжительность Маколея на следующих условиях:
  • дата расчета за ценные бумаги 01.01.2008;

  • срок погашения ценных бумаг 01.01.2016;

  • годовая процентная ставка 28 %;

  • годовой доход 82 %;

  • количество выплат по купонам с год 4, ежеквартальные выплаты;

  • способ вычисления дня «фактический/365 дней».

=MDuration(A1, A2, 0.08, 0.09, 2, 1) 5,7357 Модифицированная продолжительность Маколея на следующих условиях:
  • дата расчета за ценные бумаги указана в ячейке A1, значение 01.01.2008;

  • срок погашения ценных бумаг указан в ячейке A3, значение 01.01.2016;

  • годовая процентная ставка 8 %;

  • годовой доход 9 %;

  • количество выплат по купонам с год 2, полугодовые выплаты;

  • способ вычисления дня «американский».

См. также:

Мастер функцийФинансовые функцииIFinance.MDuration