Геометрическая экстраполяция

Экстраполяция - это особый тип аппроксимации (приближения), при котором функция аппроксимируется не между заданными значениями, а вне заданного интервала.

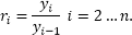
Пусть дан исходный ряд Y = {y1y2, …, yn}, тогда экстраполирующий коэффициент для геометрической экстраполяции рассчитывается следующим образом:

,

где:

Следовательно, используя динамический подход экстраполированный ряд рассчитывается по следующей формуле:

См. также:

Библиотека методов и моделей | ISmGeometricExtrapolation