Standard deviation determines how dispersed data points are in relation to their mean.
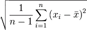
Standard deviation based on sample is calculated by the following formula:

Where:
x. Sample average.
n. Sample size.
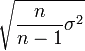
Adjusted standard deviation based on sample is calculated by the following formula:

Where:
n. Sample size.
Standard deviation based on the entire population is calculated by the following formula:
![]()
Where:
x. Sample average.
n. Sample size.
See also:
Library of Methods and Models | IModelling.Stdv | IStatistics.StDev | IStatistics.StDevP