Дисперсия

Дисперсия - отклонение наблюдаемого значения (для каждого наблюдения) от среднего арифметического.

Выборочная дисперсия

Вычисляется по следующей формуле:

Где:

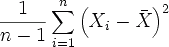
Исправленная дисперсия

Если размер выборки относительно ограничен, то для более точного расчета применяется формула несмещенной (исправленной) дисперсии:

Где:

См. также:

Библиотека методов и моделей | IModelling.Variance