В статистике обобщенное распределение Парето (GPD) представляет собой семейство непрерывных вероятностных распределений. Оно часто используется для моделирования хвостов других распределений.
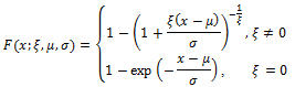
Пусть случайная величина X распределена по закону, который описан функцией:

Для x ≥ μ при ξ ≥ 0 и μ ≤ x ≤ μ - σ / ξ при ξ < 0, где:
.
Параметр размещения;
σ > 0. Параметр масштаба;
.
Параметр формы.
Тогда случайная величина X имеет обобщенное распределение Парето или
.
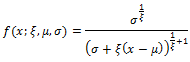
Функция плотности распределения:

Или

Если μ ≤ x ≤ μ - σ / ξ при ξ < 0.
Математическое ожидание:
![]()
Дисперсия:
![]()
Медиана:
![]()
Обобщенное распределение Парето не имеет коэффициентов асимметрии и эксцесса.
Логарифмическая функция правдоподобия для GРD распределения:
![]()
Для x ≥ μ при ξ ≥ 0 и μ ≤ x ≤ μ - σ / ξ при ξ < 0.
Для поиска оптимальной оценки параметров необходимо максимизировать ln L(ξ, μ, σ).
См. также:
Библиотека методов и моделей | ISmGeneralizedParetoDistribution