Модель «Межотраслевой баланс» применяется для исследования отраслевой структуры экономики, взаимосвязей между отраслями, отраслевых затрат и выпусков, ценовых показателей.
Иллюстрирующий пример модели межотраслевого баланса приведен ниже:
| Промышленность | Сельское хозяйство | Услуги | Всего | C | I | G | E | X | |
| Всего | M1 | M2 | M3 | ƩM | ƩC | ƩI | ƩG | ƩE | ƩX |
| Промышленность | X11 | X12 | X13 | M1 | C1 | I1 | G1 | E1 | X1 |
| Сельское хозяйство | X21 | X22 | X23 | M2 | C2 | I2 | G2 | E2 | X2 |
| Услуги | X31 | X32 | X33 | M3 | C3 | I3 | G3 | E3 | X3 |
| D | D1 | D2 | D3 | ƩD | |||||
| W | W1 | W2 | W3 | ƩW | |||||
| П | П1 | П2 | П3 | ƩП | |||||
| Т | T1 | T2 | T3 | ƩT | |||||
| Z | Z1 | Z2 | Z3 | ƩZ | |||||
| X | X1 | X2 | X3 | ƩX |
В таблицах данной модели j-ому столбцу соответствует потребление j-ой отраслью ресурсов и продукции других отраслей, по i-ой строке – распределение продукции, произведенной i-ой отраслью.
В модели межотраслевого баланса выделяют 3 квадранта.
Состоит из межотраслевых потоков.
– поток продукции i-ой отрасли для потребления j-ой отраслью, промежуточное
потребление.
Таким образом, для каждой отрасли можно посчитать объём произведенной
продукции для промежуточного потребления, суммируя значения
по строке
. Суммарный объём промежуточного
потребления в экономике:
![]()
Содержит информацию по использованию, конечном потреблении ВВП (ВВП
в рыночных ценах).
- потребление
домашних хозяйств,
- валовые
инвестиции,
- расходы правительства,
- чистый экспорт. Суммарное значение
данных величин по отраслям даёт соответствующие величины для экономики
в целом:
,
,
, ![]()
ВВП, рассчитанный по расходному методу, равен
.
Таким образом, вектор
,
где
, представляет собой вектор конечного
потребления отраслей.
В III квадранте представляется информация образования ВВП (ВВП в основных ценах). Для каждой j-ой отрасли доступна следующая информация:
. Амортизация;
. Заработная
плата и выплаты работникам;
. Прибыль;
. Налоги за
вычетом субсидий государства реальному сектору.
Сумма каждого из этих компонент даёт соответствующую величину по экономике в целом:
,
,
,
![]()
В свою очередь, сумма этих компонент даёт величину ВВП, рассчитанную
по доходам:
.
Возможен расчет ВВП через добавленные стоимости по отраслям:
![]()
Таким образом, балансовое выражение для распределения продукции i-ой отрасли имеет вид:
![]()
Балансовое выражение для потребления материалов, сырья и ресурсов j-ой отраслью имеет вид:
![]()
Суммируя первое выражение по i, а второе – по j, получаем:
![]()
То есть суммарный конечный выпуск равен суммарному условно чистому продукту.
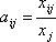
Для модели межотраслевого баланса постулируется прямопропорциональная
зависимость между потреблением материалов, сырья
отраслью j и её валовым выпуском
. Данный
коэффициент пропорциональности
называется коэффициентом прямых затрат и показывает необходимые затраты
продукта отрасли i для производства единицы продукции отрасли j.
Матрица А – матрица коэффициентов прямых затрат
.
Таким образом, выражение
может
быть переписано в следующей форме:
.
Или в векторной форме: ![]()
Где
- вектор валовых выпусков по отраслям.
Таким образом, зная объёмы валового выпуска по отраслям x при заданной
матрице прямых затрат А, можно найти значения конечного потребления y
следующим образом:
.
где E – единичная матрица. Данная задача называется прямой.
В случае же, когда известны объёмы конечного потребления и необходимо
найти отраслевые выпуски (обратная задача), применяется следующее выражение:
.
См. также:
Библиотека методов и моделей | Контейнер моделирования: модель «Межотраслевой баланс»