Дисперсия - отклонение наблюдаемого значения (для каждого наблюдения) от среднего арифметического.
Вычисляется по следующей формуле:
![]()
Где:
n. Размер выборки.
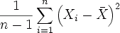
Если размер выборки относительно ограничен, то для более точного расчета применяется формула несмещенной (исправленной) дисперсии:
![]()
Где:
n. Размер выборки.
См. также: