Variance is a deviation of observed value (for each observation) from the arithmetic mean.
It is calculated by the following formula:
![]()
Where:
X. Sample average.
n. Sample size.
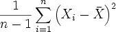
If the sample size is relatively limited, unbiased (adjusted) variance formula is used to ensure more accurate results:
![]()
Where:
X. Sample average.
n. Sample size.
See also: