In statistics the Generalized Pareto Distribution (GPD) is a set of continuous probability distributions. It is often used for modeling of other distributions tails.
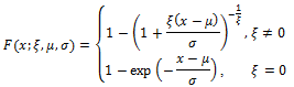
Assume that the random variable X is distributed by the rule, described by the function:

For x ≥ μ when ξ ≥ 0 and μ ≤ x ≤ μ - σ / ξ when ξ < 0, where:
. Layout parameter.
σ > 0. Scale parameter.
. Form parameter.
Then random value X has the Generalized Pareto Distribution or
.
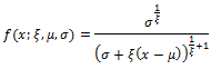
Distribution density function:

Or

If μ ≤ x ≤ μ - σ / ξ when ξ < 0.
Mean:
![]()
Variance:
![]()
Median:
![]()
Generalized Pareto distribution does not have skewness and kurtosis coefficients.
Log-likelihood function for GPD:
![]()
For x ≥ μ when ξ ≥ 0 and μ ≤ x ≤ μ - σ / ξ when ξ < 0.
To find optimal parameters estimation, maximize ln L(ξ, μ, σ).
See also:
Library of Methods and Models | ISmGeneralizedParetoDistribution