Standard Deviation

Standard deviation determines how dispersed data points are in relation to their mean.

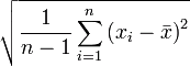
Standard Deviation Based on Sample

Standard deviation based on sample is calculated by the following formula:

Where:

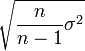
Adjusted Standard Deviation Based on Sample

Adjusted standard deviation based on sample is calculated by the following formula:

Where:

Standard Deviation Based on the Entire Population

Standard deviation based on the entire population is calculated by the following formula:

Where:

See also:

Library of Methods and Models | IModelling.Stdv | IStatistics.StDev | IStatistics.StDevP