MDuration

Мастер функций для функции MDuration выглядит следующим образом:

Синтаксис

MDuration(Settlement, Maturity, CouponRate, YieldP, Frequency[, Basis])

Параметры

Settlement. Дата расчета за ценные бумаги. Эта дата более поздняя, чем дата выпуска, когда ценные бумаги были проданы покупателю;

Maturity. Срок погашения ценных бумаг. Эта дата определяет истечение срока действия ценных бумаг;

CouponRate. Годовая процентная ставка для купонов по ценным бумагам;

YieldP. Годовой доход по ценным бумагам;

Frequency. Количество выплат по купонам в год. Обязательный аргумент. Параметр может принимать следующие значения:

  • Basis. Используемый способ вычисления дня. Задается в интервале от 0 до 4:

  • Необязательный параметр.

  • Примечание. В качестве параметра можно указывать как непосредственно значение параметра, так и адрес ячейки, в которой оно располагается.

    Описание

    Возвращает модифицированную продолжительность Маколея для ценных бумаг с предполагаемой номинальной стоимостью 100 руб.

    Комментарии

    Значение параметра Settlement должно быть меньше значения параметра Maturity.

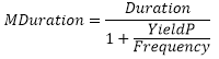
    Функция вычисляется по формуле:

    ,

    где:

    Пример

    Формула Результат Описание
    =MDuration("01.01.2008", "01.01.2016", 0.28, 0.82, 4, 3) 1,4979 Модифицированная продолжительность Маколея на следующих условиях:
    • дата расчета за ценные бумаги 01.01.2008;

    • срок погашения ценных бумаг 01.01.2016;

    • годовая процентная ставка 28 %;

    • годовой доход 82 %;

    • количество выплат по купонам с год 4, ежеквартальные выплаты;

    • способ вычисления дня «фактический/365 дней».

    =MDuration(A1, A2, 0.08, 0.09, 2, 1) 5,7357 Модифицированная продолжительность Маколея на следующих условиях:
    • дата расчета за ценные бумаги указана в ячейке A1, значение 01.01.2008;

    • срок погашения ценных бумаг указан в ячейке A3, значение 01.01.2016;

    • годовая процентная ставка 8 %;

    • годовой доход 9 %;

    • количество выплат по купонам с год 2, полугодовые выплаты;

    • способ вычисления дня «американский».

    См. также:

    Мастер функцийФинансовые функцииIFinance.MDuration