Мастер функций для функции «RedemptionYield» выглядит следующим образом:

Возвращает доход по ценной бумаге при ее погашении с нерегулярными периодами выплат (эффективная доходность по погашению).
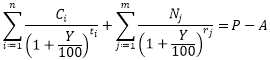
Функция вычисляется по формуле:

Где:
P. Цена ценной бумаги;
A. Накопленный купонный доход;
Y. Эффективная доходность к погашению, в % годовых;
ti. Число дней до выплаты i-го купона;
n. Количество купонов;
rj. Срок до j-ой выплаты номинальной стоимости (в днях);
m. Количество платежей по основной сумме долга;
Ci. Размер соответствующего купона;
Nj. Размер выплаты, соответствующий дате выплаты номинальной стоимости.
Равенство решается относительно переменной Y, которая является искомой величиной.
RedemptionYield(Price, AccumulatedIncome, CouponsDates, Coupons, PaymentDates, Payment, Settlement)
Price. Цена ценной бумаги. Значение параметра должно быть больше нуля;
AccumulatedIncome. Накопленный доход. Значение параметра должно быть больше, либо равно нулю;
CouponsDates. Даты купонных выплат;
Coupons. Процентные ставки по купонам. Значение параметра должно быть больше нуля;
PaymentDates. Даты платежей;
Payment. Величины платежей. Значение параметра должно быть больше, либо равно нулю;
Settlement. Дата расчета за ценные бумаги.
Примечание. В качестве параметра можно указывать как непосредственно значение параметра, так и адрес ячейки, в которой оно располагается.
| Формула | Результат | Описание |
| =RedemptionYield(1150, 40, A1:A5, A6:A10, A11:A12, A13:A14, A15) | 16,51% | Эффективная доходность по погашению на следующих условиях:
|
См. также:
Мастер функций │ Финансовые функции │ IFinance.RedemptionYield