Мастер функций для функции «MDuration» выглядит следующим образом:

Возвращает модифицированную продолжительность Маколея (Macaulay duration) для ценных бумаг с предполагаемой номинальной стоимостью 100 руб.
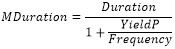
Функция вычисляется по формуле:

MDuration(Settlement, Maturity, CouponRate, YieldP, Frequency[, Basis])
Settlement. Дата расчета за ценные бумаги. Эта дата более поздняя, чем дата выпуска, когда ценные бумаги были проданы покупателю. Значение параметра должно быть меньше значения параметра «Maturity»;
Maturity. Срок погашения ценных бумаг. Эта дата определяет истечение срока действия ценных бумаг;
CouponRate. Годовая процентная ставка для купонов по ценным бумагам;
YieldP. Годовой доход по ценным бумагам;
Frequency. Количество выплат по купонам в год. Обязательный аргумент. Параметр может принимать следующие значения:
1 - для ежегодных выплат;
2 - для полугодовых выплат;
4 - для ежеквартальных выплат;
Basis. Используемый способ вычисления дня. Задается в интервале от «0» до «4»:
0 - американский. 360 дней (метод NSAD);
1 - фактический/фактический;
2 - фактический/360 дней;
3 - фактический/365 дней;
4 - европейский 30/360 дней.
Необязательный параметр. Значение по умолчанию «0».
Примечание. В качестве параметра можно указывать как непосредственно значение параметра, так и адрес ячейки, в которой оно располагается.
| Формула | Результат | Описание |
| =MDuration("01.01.2008", "01.01.2016", 0.28, 0.82, 4, 3) | 1,4979 | Модифицированная продолжительность Маколея (Macaulay duration)
на следующих условиях:
|
| =MDuration(A1, A2, 0.08, 0.09, 2, 1) | 5,7357 | Модифицированная продолжительность Маколея (Macaulay duration)
на следующих условиях:
|
См. также: