Обобщенное распределение Парето

В статистике обобщенное распределение Парето (GPD) представляет собой семейство непрерывных вероятностных распределений. Оно часто используется для моделирования хвостов других распределений.

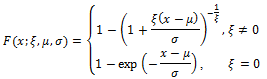
Пусть случайная величина X распределена по закону, который описан функцией:

Для ≥ μ при ξ ≥ 0 и μ ≤ ≤ μ σ ξ при ξ < 0, где:

Тогда случайная величина X имеет обобщенное распределение Парето или .

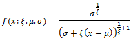
Функция плотности распределения:

Или

Если μ ≤ ≤ μ σ ξ при ξ < 0.

Характеристики распределения

Обобщенное распределение Парето не имеет коэффициентов асимметрии и эксцесса.

Оценка параметров распределения

Логарифмическая функция правдоподобия для GРD распределения:

Для ≥ μ при ξ ≥ 0 и μ ≤ ≤ μ σ ξ при ξ < 0.

Для поиска оптимальной оценки параметров необходимо максимизировать ln L(ξμσ).

См. также:

Библиотека методов и моделей | ISmGeneralizedParetoDistribution