В теории вероятности и математической статистике распределение экстремальных значений (EV) представляет собой семейство вероятностных распределений, разработанных для теории экстремальных значений. Обобщенное распределение экстремальных значений представляет собой обобщение распределений Гумбельта, Фрешета и Вейбулла и используется для приближенного моделирования максимумов конечных последовательностей случайных величин.
Пусть случайная величина X распределена по закону, который описан функцией:
![]()
Где:
ξ > 0. Параметр формы;
. Параметр размещения;
. Параметр масштаба.
Тогда случайная величина X имеет обобщенное распределение экстремальных значений или
.
Функция плотности распределения:

Математическое ожидание:

Где γ - константа Эйлера;
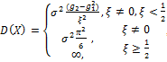
Дисперсия:

Где
- гамма функция;
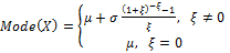
Мода:
![]()
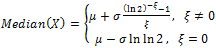
Медиана:
![]()
Коэффициент эксцесса:

Логарифмическая функция правдоподобия для GEV распределения при ξ ≠ 0:

Логарифмическая функция правдоподобия для GEV распределения при ξ = 0:
![]()
Для поиска оптимальной оценки параметров необходимо максимизировать обе функции правдоподобия и выбрать максимальный результат. Это и будет наилучшей оценкой параметров.
См. также:
Библиотека методов и моделей | ISmGeneralizedExtremeValueDistribution