Экстраполяция - это особый тип аппроксимации (приближения), при котором функция аппроксимируется не между заданными значениями, а вне заданного интервала.
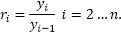
Пусть дан исходный ряд Y = {y1, y2, …, yn}, тогда экстраполирующий коэффициент для геометрической экстраполяции рассчитывается следующим образом:
,
где:

Следовательно, используя динамический подход, экстраполированный ряд рассчитывается по следующей формуле:

См. также: