Стандартное отклонение

Стандартное отклонение - это мера того, насколько широко разбросаны точки данных относительно их среднего.

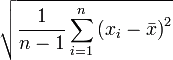
Стандартное отклонение по выборке

Стандартное отклонение по выборке рассчитывается по следующей формуле:

Где:

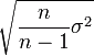
Исправленное стандартное отклонение по выборке

Исправленное стандартное отклонение по выборке рассчитывается по следующей формуле:

Где:

Стандартное отклонение по генеральной совокупности

Стандартное отклонение по генеральной совокупности рассчитывается по следующей формуле:

Где:

См. также:

Библиотека методов и моделей | IModelling.Stdv | IStatistics.StDev | IStatistics.StDevP