Npv(Rate: Double; Values: Array): Double;
| Параметры | Описание | Ограничения |
| Rate | Ставка дисконтирования за один период. | Не может быть равен «0» |
| Values | Массив аргументов, представляющих расходы и доходы. | Необходимо использовать массив типа Double. |
Метод Npv возвращает величину чистой приведенной стоимости инвестиции, используя ставку дисконтирования, а также стоимости будущих выплат (отрицательные значения) и поступлений (положительные значения).
Считается, что инвестиция, значение которой вычисляет метод Npv, начинается за один период до даты денежного взноса Values и заканчивается с последним денежным взносом в списке. Вычисления метода Npv базируются на будущих денежных взносах. Если первый денежный взнос приходится на начало первого периода, то первое значение следует добавить к результату метода Npv, но не включать в список аргументов.
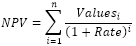
Npv вычисляется следующим образом:

Где n – количество чисел в аргументе Values.
Для выполнения примера добавьте ссылку на системную сборку MathFin.
Sub UserProc;
Var
r: Double;
Arr: Array[3] Of Double;
Begin
Arr[0] := -1;
Arr[1] := 1.5;
Arr[2] := 2.5;
r := Finance.Npv(0.15, Arr);
Debug.WriteLine(r);
End Sub UserProc;
В результате выполнения примера в окно консоли будет выведена величина чистой приведенной стоимости инвестиции, равная «1.9084».
См. также: